基金从业资格考试通过率约50%,232人考场违纪
21世纪经济报道记者近日从中国证券投资基金业协会(下称“协会”)了解到,自基金从业资格考试2015年9月重启,至今年9月底已举办覆盖48个城市的全国统考4次,预约式考试6次,周考6次,累计报名人数达116万人,报考科次205余万,参考人员包括公募基金、私募基金(证券、PE、VC)、银行渠道基金销售人员、第三方基金销售机构人员、券商保险期货人员以及在校学生等,考试平均通过率约50%。
此外,于今年9月增设的科目三《私募股权投资基金基础知识》考试科目,首次报考人数达7万人,总体通过率53.09%。科目三考试增设后,通过科目一和科目二考试,或通过科目一和科目三考试均可获得基金从业资格的注册条件。
值得一提的是,在通过了科目一和科目二考试的同时,参考人员需要通过所在机构向中国证券投资基金业协会提交注册方可取得基金从业资格。
协会对从业资格的管理模式也与以往不同。基金从业资格考试成绩4年有效,通过所在机构注册成为基金从业人员后每年需参加规定数量的面授培训或远程培训来维持资格。协会远程培训系统今年9月份完成升级,已实现个人在系统中注册学习。
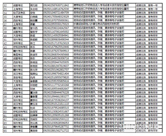
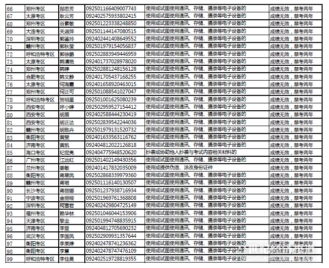
21世纪经济报道记者了解到,9月全国基金从业资格考试共惩处232名违纪人员。
其中,对“携带规定以外的物品进入考场或者未放在指定位置的”及“其他一般违纪行为的”33名违纪人员,给予取消考试成绩并禁考一年的处理;对“抄袭或协助他人抄袭与考试内容相关材料的”、“使用或试图使用通讯、存储、摄录等电子设备的”及“其他严重违纪违规行为的”194名违纪人员,给予取消考试成绩并禁考两年的处理;对“由他人冒名代替参加考试或者冒名代替他人参加考试的”及“其他情节特别严重、影响特别恶劣的违纪违规行为的”5名违纪人员,给予取消考试成绩并禁考三年的处理。
以上所有违纪人员禁考期内不得报名参加基金从业资格考试、证券从业资格考试及期货从业资格考试,违纪情况及处理结果记入个人诚信档案,并通报违纪人员所在单位。
据悉,截至2016年9月底,中国证券投资基金业协会已惩处基金从业资格考试违纪人员累计达737人。
(作者:韩一奇 编辑:朱益民)
21世纪经济报道及其客户端所刊载内容的知识产权均属广东二十一世纪环球经济报社所有。未经书面授权,任何人不得以任何方式使用。详情或获取授权信息请点击此处。






