公募三季度调仓曝光:这50股被疯狂减持!平安跃升第一重仓股
截至10月26日,公募基金2018年三季报全部披露完毕,公募基金三季度的持仓路径得以曝光。
据天相投顾数据统计显示,消费、医药板块成为三季度公募重点减持方向。公募减持前50大重仓股中,绝大部分为家电、食品、传媒等消费类个股以及医药板块相关个股,而50大增持个股中,金融股多达11只。
多只消费白马股遭大举减持
据天相投顾数据统计显示,三季度被公募基金减持最多的前十大个股依次是:美的集团(000333)、分众传媒(002027)、格力电器(000651)、五粮液(000858)、大华股份(002236)、通化东宝(600867)、康泰生物(300601)、复星医药(600196)、泸州老窖(000568)和天齐锂业(002466),其中美的集团遭减持74.46亿元,减持规模最大。
从10月以来的股价表现来看,除了停牌的美的集团外,其余9只个股股价均有下跌,其中跌幅最高的是通化东宝,截至10月26日收盘该股10月跌幅高达31.75%。
以下是天相投顾梳理的三季度被基金减持最多的前五十大个股详细情况:(以下股价涨跌截至10月25日)
金融股受青睐遭大举加仓
据统计,三季度公募增持最多的前十大个股依次是:中国平安(601318)、招商银行(600036)、万科A(000002)、贵州茅台(600519)、长春高新(000661)、永辉超市(601933)、顺鑫农业(000860)、新华保险(601336)、中国太保(601601)和洋河股份(002304)。
上述10只个股中,有4只为金融股,其中3只为保险股。此外,在50大增持个股中,金融股多达11只。从这些个股10月以来的股价表现来看,金融股整体股价表现明显较为稳定,在震荡市中展现出较强的防御属性。
以下是天相投顾梳理的三季度被基金增持最多的前五十大个股详细情况:(以下股价涨跌截至10月25日)
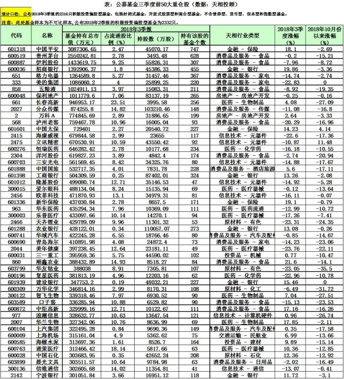
中国平安跃升第一大重仓股
由于遭到基金的大举增持,中国平安取代贵州茅台成为公募三季度第一大重仓股,截至季末重仓持有该股的基金数量多达747只。从股价表现来看,中国平安在三季度逆市上涨,取得了18.1%的涨幅,10月以来截至26日,其股价下跌了4.32%。
除中国平安外,三季度公募前十大重仓股还包括:贵州茅台(600519)、伊利股份(600887)、招商银行(600036)、格力电器(000651)、美的集团、五粮液、保利地产(600048)、长春高新(000661)和分众传媒(002027)。
以下为天相投顾梳理的三季度公募基金前五十大重仓股情况:(以下股价涨跌截至10月25日)
(编辑:朱益民)


