四川首富19天豪掷4亿买民生银行!刘永好同时持有A股和H股,增持时点值得玩味
四川首富刘永好近期在金融板块动作不少!
几乎在喜提太平洋证券的同时,刘永好开始密集加仓民生银行H股。
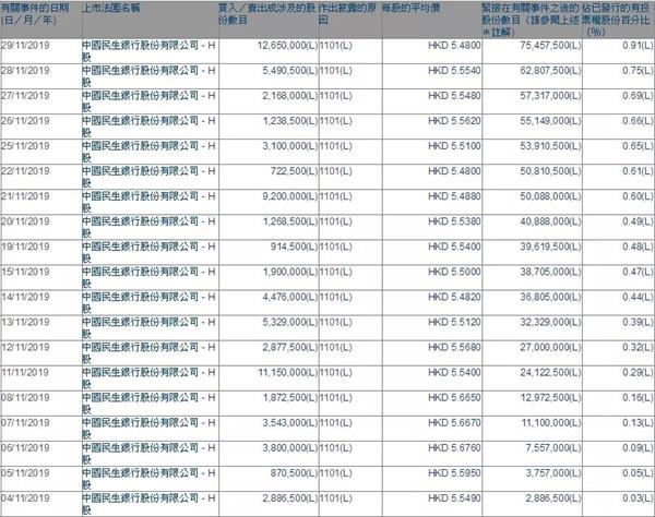
中证君查阅港交所交易信息显示,刘永好自11月4日开始密集买入,在随后的交易日中仅11月18日未有交易,几乎实现了每日加仓,共计加仓7545.75万股,耗资4.18亿港元。截至11月29日最后一笔增持交易后,刘永好直接持有的民生银行股份占总股本比例已经从0升至0.91%。
▽11月4日来刘永好持续增持民生银行H股
刘永好是民生银行的主要创始人和股东之一,目前仍担任民生银行副董事长。近期连续不间断增持,留下了极大的想象空间。
刘永好增持民生银行H股可谓是小步快走。
刘永好增持幅度最大的一天是11月29日,当日买入1265万股,耗资约7000万港元。此外,11月11日增持数量超过1100万股。其余的交易日买入规模在数百万股左右,有3个交易日增持数量不足100万股。
有分析人士推测,刘永好持续增持或许是意在保持股价平稳的基础上,迅速提升在上市公司中的持股比例。
截至目前,刘永好直接持有民生银行H股0.91%的股份,通过新希望六和投资、南方希望实业合计持有民生银行A股4.43%股份。刘永好目前还担任民生银行副董事长。
▽民生银行H股近3个月走势
民生银行今年业绩表现良好。
前三季度民生银行实现营收1331.28亿元(人民币),同比增速15.11%。其中,净利息收入713.01亿元,同比去年增长32.48%。非息收入中手续费收入394.83亿元,同比去年增速12.15%。归母净利润455.29亿元,同比增速6.66%。
值得注意的是,民生银行前三季度净利息收入同比和环比均实现了较高增速。考虑到民生银行的资产规模同比和环比变化不大,所以大致可以预判出公司净息差在3季度有显著提升。
有财经分析人士指出,刘永好在11月初开始密集买入,这一时间点颇为玩味。
11月份上市公司全年业绩已经基本明朗,这是一般董监高增减持自家股票的一个时间点。从三季报推测,预计民生银行全年业绩应表现良好。
另一个增持的原因可能是目前民生银行H股的低估值。
今年下半年,港股出现股汇双杀,不少H股股价下跌,同时人民币汇率回升,港股性价比在逐步提升。数据显示,民生银行最新AH溢价率为26.59%,较上月和三个月前均有所提升,这意味着此时是买入港股不错的时机。
公告显示,除了刘永好,也有外资看好民生银行H股的前景并在近期大举增持。11月26日,民生银行获贝莱德(Black Rock, Inc。)增持,增持每股均价为5.59港元,增持1141.4万股,总价约6380.43万港元。增持后,Black Rock, Inc。持有民生银行权益的H股426,815,930股,占已发行的有投票权H股的5.13%。
贝莱德是全球最大的资产管理公司,上月曾发布题为《中国:投资机会大到不容忽视》的报告。
(来源:中国证券报)
(编辑:曾静娇)


