美股熔断,上一次还是亚洲金融危机期间,一转眼,22年已过。
我们从去年8月起研究发现,美国经济存在股市泡沫、企业债务泡沫、就业市场泡沫三大泡沫,最早预判美国经济2020年会发生危机。
本次疫情只是一个催化剂,引爆了美国的泡沫。美国问题的根源还是其自身经济的脆弱性。
目前是股市泡沫破灭,接下来还有企业债务泡沫和就业市场泡沫的破灭,美国危机才刚刚开始。
这是美国的危机,而不是中国的危机。是美国主导的旧时代的结束,也将是一个新的多极化时代的开始。
BBB企业债占比上升快,多数企业发债不为发展。企业债务主要由债券和贷款组成。在债券方面,美国非金融企业债务总额从2008年的2.2万亿美元上升至2018年的5.7万亿美元,主要增长点为投资级别债务,特别是BBB企业债。BBB企业债属于最低投资级别债券,仅仅高于高收益级别(垃圾债)一个等级。一旦企业基本面恶化并遭遇评级公司下调其评级,还债压力将迅速上升,出现违约现象。BBB企业债在过去十年里增加了近2万亿美元,占比从2008年的36.4%上升至2018年的47.4%。
大多数企业发债并不是以经营和发展为目的,而是主要用于股票回购、分红和公司兼并等,从而推动股价上升,进一步提升发债融资能力。这是标准普尔500指数在十年内翻了接近三倍的主要原因之一。
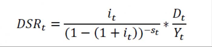
债务备付率(debt-to-service ratio)体现企业偿债压力。在此,我们使用国际清算组织(BIS)的美国非金融企业债务备付率来分析美国债务周期和当前状况。具体的公式为:

其中i是企业债务平均利率,s是企业债务平均偿还期,D是企业债务总量,Y是企业总收入(BIS使用美国GDI按照比例换算近似替代企业收入)。备付率低意味着企业偿债能力强,债务相对收入的压力较小。假设利率和偿还期是固定的,当债务增长快于收入增长时,债务备付率会逐渐上升,正如当前美国处于经济增速放缓阶段。需要注意的是,通过降息来降低债务利率一般难以抑制备付率上升,主要原因是低成本会吸引更多企业发债。
美国非金融企业偿债能力下滑,压力不久将要触顶。美国在2011年至2014年处于第一阶段,即危机后复苏阶段。此时利率较低,债务压力经过大规模去杠杆后处于低位,经济增速开始上行,债务备付率逐渐下降。当货币政策收紧后,发债成本加重,债务增速并没有明显下降,反而经济增速开始放缓,导致债务备付率快速上升,美国从2015年开始加息至2019年7月处于第二阶段,即压力式上行阶段。
当前,随着全球货币政策趋向宽松,即便美联储强调只是周期中的调整(mid-cycleadjustment),现实状况依然使得不少人认为十年来第一次降息标志宽松周期开启。短期内,我们预计备付率将继续上升探索顶部。
我们认为,美国企业债务压力可能在2020年三季度达到峰值,美国非金融企业债务压力可能在2020年三季度达到峰值。
首先,这一轮债务周期的顶部数值无法确定。
从上两个峰值来看,2008年的峰值低于2001年的峰值,所以现阶段的峰值存在低于2008年峰值的可能性,意味着非金融企业距离去杠杆阶段会更近。如果这一轮峰值等于2008年峰值,我们测算美国企业债务压力可能将在2020年三季度触顶。根据BIS的计算公式,假设债务到期日(BIS默认为13年)和债务利率(BankPrime Loan Rate)保持不变,我们保守估计债务季度年化增速为5%(BIS数据显示2011年至2018年的平均增速为10%,后阶段增速受周期因素影响可能会慢于复苏阶段),名义GDI年化季度增速为4%(2011年至2018年名义GDI平均增速,后阶段增速慢于复苏阶段),则从2018年四季度的41.4达到2008年二季度的44.3需要7个季度(速算公式N=ln(44.3/41.4)/0.01=7),也就是2020年的三季度。我们在这里没有考虑降息和债务增速之间的动态均衡关系。如果利率下降吸引企业加速举债,叠加经济增速放缓加剧,顶部可能会来得更快一些。
其次,美国其他负面因素也在逐渐积累。
美联储独立性问题屡受挑战,企业债务管不了。美联储鹰派降息受外界质疑其独立性。即便在降息以后,特朗普依然再指责其降息不够,拖累美国经济扩张。虽然美联储主席鲍威尔在不同场合反复强调独立性,但公众质疑并没有减少。独立性受损对今后美联储货币政策实施效果将是一大伤害。
美联储对企业债务已有警觉。美联储在危机中可以购买两房债务和国债等指定债务,但是对企业部门向来无能为力。美联储没有获得国会授权购买股票和企业债券,所以企业债务周期会更加明显。早在去年3月,达拉斯联储主席卡普兰就发文表示“企业债务在经济放缓中被加重(corporate debt as a potential amplifier in a slowdown)”,债务危机爆发也会提高经济衰退概率。当前美国企业违约率尚处于稳定状态,评级公司也没有大面积下调评级。但是,评级公司调整比较滞后,例如两房在被美国政府纾困前依然获得3A评级。一旦出现评级公司对BBB乃至更高的企业进行下调,企业将被迫缴纳更多资产作为抵押,导致其流动性过紧,危机开始蔓延。
财富和收入差距扩大,民粹主义或将愈演愈烈,美国财富和收入差距在金融危机后继续扩大。正如上文所言,标准普尔500十年内增长接近三倍,只要在早期进入股市就可以使财富成倍扩张。毫无疑问,这对美国精英阶层是非常利好的,普通百姓一般没有余钱投资股市。因此,美国财富悬殊进一步拉大,中位数从2010年到2016年仅增加约1.3万美元,而90%分位数同期增加约14万美元,财富增长最明显的是99%分位以上的人口。
同样的事情发生在劳动力市场,低收入增长长期处于停滞状态,中等收入也只是略有上升,上层收入在危机后有显著提升,2016年高收入薪酬是低收入薪酬的13倍左右。
美国一些民粹主义或将愈演愈烈,社会矛盾进一步激化。按照达里奥的观点,贫富差距拉大使得民粹主义可能在美国爆发,加剧美国社会的不稳定性。
2008年金融危机后,茶党运动和占领华尔街示威游行相继而来,普通民众与精英阶层的矛盾日益凸显。民粹主义者声称自己代表普通大众发言,反对精英阶层并阻止他们的政治偏好。随着贫富差距不断增大,民粹主义在部分铁锈州(传统工业衰落地区,例如五大湖区)较为盛行。特朗普在2016年竞选总统时主攻铁锈州,喊出“美国复兴(make American great again)”的口号,吸引了大批底层工人的选票,摇摆州的胜选使其脱颖而出。
特朗普上任后相继提出了保护主义及反全球化经济等政策。再次,经济下行压力加剧美国保护主义,全球贸易争端不断升级,美国保护主义转嫁国内部分压力。保护主义不仅会伤害全球经济前景,而且也给美国自身的出口和制造业带来伤害,自2018年下半年开始美国出口同比增速持续下降,制造业PMI指数也是不断下降。
G20会议提倡贸易合作话音刚落,日本就效仿美国,以国家安全为由将韩国移出“白名单”。贸易争端从区域蔓延至全球。此番情景正如上世纪30年代初期的美国:纵使上千经济学家联名反对加征关税,胡佛总统为兑现竞选口号支持了1930年通过的关税法(Hawley-Smoot Tariff Act),全球贸易战一发不可收拾。
美股熔断并不奇怪,熔断之后,我们有如下展望。
警惕2020年美国经济衰退风险。经济增速放缓将促使债务危机爆发,两者相互作用可能引起美国衰退。虽然当前美国经济基本面没有出现明显恶化,但是经济增速放缓和债务压力上行,最终会使企业债务泡沫破裂,导致经济进入萎缩乃至衰退的地步。已有所警觉的美联储通过降息来降低发债成本,可以维持处于颠覆边缘的“僵尸企业”继续生存。根据这一轮债务周期的发债状况来看,我们乐观估计美国非金融企业债务备付率将在2020年三季度达到峰值。值得注意的是,全球贸易形势令人关注,叠加美联储降息空间有限,一连串的连锁反应将迫使美联储开启新一轮量化宽松。
另外,美联储和财政部都无法干预股市或购买股票,一旦美股出现崩溃,加上评级公司的潜在评级下调,美国企业去杠杆周期恐将更快到来,衰退或将难以避免。风险提示包括:美国经济加速下行、降息效果不及预期、贸易摩擦等。
美国经济今年一季度超预期,至今失业率和消费等指标仍然不错,容易给人留下美国经济韧性犹存的印象。如果以失业率作为衡量指标,美国就业市场目前看上去仍是一片繁荣,但失业率是经济的滞后指标,不能代表当下及未来的经济走向,而先行指标每周工时已连续三季度下降,揭示出美国企业正在收缩生产经营。
从数据来看,美国失业率月度低点已于2019年4月份出现,为3.58%,5-7月分别为3.62%、3.67%、3.71%,连续3个月上升。我们预计,今年底美国失业率将升至4%左右,明年将进入加速上升阶段。美国企业部门债务成为重要风险源。在美国失业率拐点判断的基础上,可以发现,美国失业率触底回升是企业债务负担触顶的领先指标,其上升趋势形成领先债务负担顶点三个季度左右。
当前美国企业债务负担已超上一轮峰值,触顶概率逐渐上升。2008年至今,企业债券增量超3万亿美元,其中BBB债券增量就达2.2万亿美元,占比从08年的36.4%上升至18年的47.4%。十年来大量增发的BBB债券为危机埋下种子,我们推算美国企业债务周期将在2020年触顶,可能导致美国经济陷入衰退。
倒挂引起美国避险情绪急剧升温。本轮美国国债期限利差倒挂具有特殊性,诸如10Y-3M先于10Y-2Y期限利差倒挂为历史首次、风险中性期限利差为正值时期限利差倒挂为历史首次等。期限利差倒挂意味着长期回报率低于短期回报率,企业家会减少长期投资,银行因借短贷长的盈利将减少而紧缩长期信贷,2020年美国衰退风险进一步上升。
一句话,2020年将是全球经济的多事之秋。不同于居民部门和政府部门,企业部门受商业景气变化影响会表现出较为明显的信用周期。在经历了三年去杠杆,非金融企业债务在GDP的比重从2013年开始回升,在2017年一季度突破前期峰值,当前仍处于上升触顶阶段。
总量上看,企业债务规模从2010年的约6万亿美元增至2018年的9.7万亿美元。融资渠道上看,2018年银行贷款仅在2008年基础上增加了约4000亿美元,其中大部分为短期贷款;企业债券市场融资在同期内一共增加了约2.7万亿美元,几乎全部增量都来自于发行债券(图2)。
融资风格的转变与监管层政策变化息息相关:美国在危机之后对银行监管趋严,为防止银行业系统性风险再次爆发,出台了《多德-弗兰克法案》。按照规定,美联储每年都要对各家大型银行进行压力测试考核,导致银行对企业贷款审核收紧,从而一定程度上将企业推向了资本市场进行直接融资。
企业债券质量下滑,BBB占比大幅上升。随着规模扩张,企业债券质量逐渐下降。最低投资级别的BBB债券既能满足部分机构的评级要求,又能提供较高的收益。因而,BBB企业债在过去十年里增加了近2万亿美元,占比从2008年的36.4%上升至2018年的47.4%。目前,债券违约率依然显著低于危机时的峰值。
除了最低评级的垃圾债以外,各级利差也未有明显上升,反映整体信用风险尚处于低位。
这里有两点值得关注:1)2018年底第四次加息使得利差快速走高,说明当前企业债务状况需要更加宽松的货币政策支持;2)今年7月降息并未阻止最低级别CCC债券利差上升,当前与2018年底最高水平持平,说明市场对底层企业债券存在担忧,是否会引着债券质量链条向高等级债券传导有待观察。著名的福特汽车公司已被穆迪降级至“垃圾债”级别。美联储的降息周期开启有助于减轻“僵尸企业”还债压力,但能支撑多久是个问题。
非金融上市公司杠杆上升,盈利增速慢于债务增速
金融上市公司杠杆率低位运行,非金融上市公司杠杆率突破上轮峰值。受金融危机和监管趋严的影响,金融上市公司先是在2008年经历了大规模去杠杆,然后继续压缩自身的杠杆率。相反,非金融上市公司的杠杆率波动在金融危机中相对较低,2009年的杠杆率峰值低于互联网泡沫时期的水平。
非金融上市公司杠杆率的转折点开始于2013年四季度。因为意识到美联储不会将利率长期保持在低位,非金融上市公司希望将利率锁定在较低水平,从而加速发债,导致杠杆率在这段期间迅速上升。有趣的是,2018年美联储加息“过猛”确实抑制了企业杠杆上升。但是,非金融上市公司可能是因为利息负担加重,从2018年年底开始以更快速度提升杠杆率。
债务增速超过盈利增速,流动比率下滑但高于金融危机前的水平。当债务压力超过自身承受力并出现持续趋势时,债务问题才会逐渐暴露并最终亮起“红灯”。美国上市公司曾在2016年内出现过“营收衰退”的迹象,利润增速大幅低于债务增速。虽然当时也曾有过经济危机的讨论,但是上市公司手上的现金充足,美国政府在特朗普上台之后实施大规模的减税政策,最终没有形成实质性的危机。今年至今,上市公司债务增速再次超过盈利增速,同时流动比率从2017年底开始出现趋势性下滑;幸运的是,整体水平依旧高于金融危机前的水平,反映上市公司现金存量相对充足。
但是,在全球经济增速放缓的大背景下,美国上市公司的流动比率还有可能继续下滑。
美国上市公司通过回购与分红推高股价。标普500股票回购处于历史高位,工业产出增速再现下滑趋势。上市公司发债融资用于研发生产来提高生产率是一件好事;但是用于股票回购和提高分红来提升股票吸引力则有待商榷。根据标普500统计显示,上市公司从2017年三季度开始加大回购力度,连续6季度回购金额上升,并在2018年四季度达到最高值2223亿美元;股票分红亦是如此。
如果说去年加大回购力度是稳定美股信心,今年一季度的下降更像是担忧高位接盘。与股票市场火热相悖的是,美国制造业和总体工业产出同比增速在十年内第三次出现明显下滑趋势。
虽然制造业在美国GDP中占比仅在12%左右,但是一旦制造业衰退加剧(目前,已经连续两季度环比负增长,进入“技术性”衰退),必将对其他部门形成显著负面影响,失业率也会随之上升。
(解运亮系民生证券宏观首席分析师,毛健系民生证券宏观研究员,付万丛系民生证券研究员)
(编辑:李靖云)


















