一、核心观点综述
2016年12月,上海票交所成立,此后,票据市场进入票交所时代。过去几年,在推动电子票据发展、票据监管趋严的背景下,票据市场的格局已经发生改变。 票交所自2017年6月开始公开披露票据市场日度、月度交易数据,并于2018年12月开始披露国股银票转贴利率曲线。本文基于上述数据对当前票据市场的概况进行介绍,并在票交所已公布的数据基础上对票据定价、票据利率影响因素等问题进行探讨。
1、票交所时代的票据市场概况
票交所时代,票据市场规模再度迎来快速增长。从我国票据市场规模来看,票据市场规模曾在2015-2016年达到峰值,2015年全年累计签发量达到22.4万亿元,票据未到期余额一度超过10万亿元,票据贴现余额最高时达到5.7万亿元。此后,2016年以来,受票据风险事件频发、票据监管趋严的影响,票据市场规模收缩,2017年下半年以来,票据市场规模再度增长,2019年全年累计签发量达到20.4万亿元,截至2019年末,票据未到期余额达到12.7万亿元,已经超过前期高点,票据贴现融资规模达到7.6万亿元,较2017年的低点规模翻番。
电子票据已成绝对主流,品种仍以银票为主。从电子票据的推广来看,随着监管部门推动在大额票据交易和跨省票据交易中使用电子票据,近年来电子票据的规模快速上升,目前电子票据已经成为票据市场的绝对主流,2019年,电子票据在全部商业汇票签发量中占比已达96%。从品种上,目前我国商业汇票仍以银行承兑汇票(以下简称“银票”)为主,截至2019年末,银票在票据承兑余额中占比为86%,其余为商业承兑汇票。
票据交易量恢复,票据转贴业务交易量占比较高,票据回购交易增长较快。从票交所披露的数据来看,2017年、2018年和2019年,票据市场交易量分别为52.18万亿元、41.75万亿元和50.94万亿元。2018年,票据交易量大幅下滑,主要和票据资本计提更为严格、资管新规后票据资管业务暂停有关,2019年以来,票据交易量恢复。从交易品种来看,2019 年,票据市场交易量为50.94 万亿元,其中,转贴现38.82 万亿元,占比76%,同比增长12%;回购12.12 万亿元,占比24%,同比增长70%。票据转贴现业务仍是票据交易的大头,而票据回购交易自票交所成立以来规模快速增长,从2016年的3.38万亿元增长至2019年的12.12万亿元,这与票交所的电票质押式回购交易仅通过中国票据交易系统进行、无需线下签订合同,提高了交易效率有关。
票据增值税新规实施之后,票据贴现和转贴现之间价差大幅收窄。2017年 7月 11日财政部发布的《关于建筑服务等营改增试点政策的通知》(财税〔 2017 〕 58 号)对票据业务增值税进行规定:“自 2018年1月1日起,金融机构开展贴现、转贴现业务,以其实际持有票据期间取得的利息收入作为贷款服务销售额计算缴纳增值税。”上述文件将票据增值税全部由直贴行承担修改为由直贴行和转贴行共同承担,降低了票据直贴行的税负成本,有利于缩窄票据直贴和转贴现之间的价差。从票交所披露的数据来看,2020年2月,票据直贴加权平均利率为2.95%,票据转贴现加权平均利率为2.85%,二者之间的价差仅为10bp,较2017年的40bp以上大幅收窄。
票据利率曲线建设逐步推进,新增城商银票转贴利率曲线。目前,票交所已公布两条票据曲线——国股银票转贴利率和城商银票转贴利率曲线,前者的承兑行和贴现行均为股份制银行,自2018年12月5日开始公布,后者是“城商承兑、国股贴现”的银票转贴利率,自2019年12月5日开始公布。自城商银票转贴利率曲线公布以来,两条曲线的利差在10-30bp之间。
2、票据利率受信贷因素影响的定量分析
我们已经在前面的研究报告中对票据利率的影响因素进行了较为全面的分析(请见我们此前的研究报告《票据利率的四象限分析框架》[1]及《货币市场工具比价研究》[2]),本文尝试对信贷因素的影响进行定量分析。 票据利率有较强的资金利率属性,整体而言,票据利率与NCD利率的走势较为一致,同时阶段性的信贷规模松紧也对票据利率存在影响。一般而言,当信贷宽松时,票据利率通常下行(或者上行幅度不及资金利率),反之,当信贷紧张时,票据利率通常上行(或者下行幅度不及资金利率)。从调整后的收益率来看,考虑税收差异后,NCD利率在多数时间略高于票据转贴利率,体现出票据的信贷属性溢价,6个月NCD利率和6个月转贴现利率的利差平均为16bp左右,当信贷规模紧张时,上述利差收窄;当信贷规模宽松时,上述利差走阔。
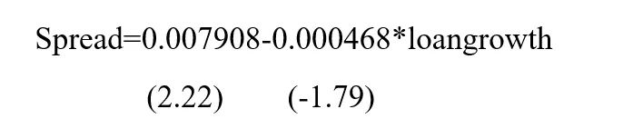
下面,我们使用考虑资本占用和税收调整后的NCD利率和票据利率的价差与信贷增速进行回归。采用2014年3月至2019年7月之间的价差(spread)和信贷增速(loangrowth)月度数据进行回归,回归结果如下:
通过回归分析,可以发现价差和信贷增速之间存在负相关关系,上述关系在90%的置信水平下显著。即信贷增速越高,NCD利率和票据利率之间的价差越小,这与通常认为的信贷规模较为紧张时,票据利率相对NCD利率上行、二者之间利差收窄的观点一致。
二、政策操作追踪
上周公开市场无逆回购到期;央行上周进行1000亿元1年期MLF操作,利率为2.95%,较上次下行20bp,上周未进行逆回购操作。 上周央行公开市场操作实现净回笼1000亿元(如图表8);截止上周末,所有逆回购均已到期(如图表9)。
三、货币市场表现
上周央行进行1000亿元MLF操作,银行间流动性结构上处于充裕水平。上周DR001,DR007双双下跌,货币市场利率曲线于7D处微凸,陡峭幅度增加;3M NCD、6M NCD发行利率均上涨。
第一,从绝对水平来看(图表12),上周资金流动性处于充裕水平,DR001上周下行61bp收于0.71%,周内均值较上周下跌31bp。DR007上周收于1.46%,较前一周下跌19bp。Shibor 3M收于1.40%,较上一周末下跌10bp。
第二,从货币市场利率曲线形态来看(图表14),利率曲线于7D处微凸,陡峭幅度增加,14D以上期限利率水平较上周微有上升。
第三,流动性分层的角度(图表15)看,上周流动性分层现象整体较前一周减少,R007与DR007的平均利差为10.52bp,较上周下降3.7bp。上周有两个交易日R007与DR007出现倒挂现象。
第四,货币市场投资工具方面,所有主要投资工具除NCD发行利率以及理财收益率外均上行。同业存单品种方面(图表17),上周发行量为3429.30亿元,净融资量-103.66亿元。3个月NCD发行利率收于1.77%,较前一周上涨6bp;6个月NCD发行利率收于2.09%,较前一周上涨10bp。票据方面(图表18),3个月国股银票转贴利率收于2.31%,较前一周下跌2bp。理财方面(图表19),全市场3个月理财产品收益率下跌3.3bp至3.98%;利率互换方面(图表20),上周最活跃的两大品种:1Y FR007收报于1.42%,较上一周下行7.1bp;1Y SHIBOR3M收报于1.55%,较前一周下行6.5bp。
四、本周政策与市场前瞻
本周地方债发行量较小,缴税可能对资金面形成扰动。本周无逆回购到期,同业存单到期规模3232亿元。本周地方债计划发行755亿元,发行量较小,4月14日召开的国务院常务会议再次提出“提前下达一定规模的地方政府专项债”。4月份纳税申报期限从4月20日延至4月24日,本月为缴税大月,本周缴税因素可能对资金面形成扰动。 央行操作方面,预计央行将维持流动性合理充裕。 资金利率曲线方面,预计短端利率继续处于低位。 货币市场投资工具方面,预计3个月NCD发行利率维持低位。
文丨鲁政委
编辑丨赵连雪























