上周共发行各类信用债459只,发行规模为3,809.67亿元,其中,企业债、公司债、私募债、短融(包括超短融)和中票共发行298只,规模合计2,692.83亿元。本周计划发行各类信用债32只,规模为256.65亿元。其中公司债、企业债、短融(包括超短融)和中票共发行32只,规模合计256.65亿元
如需统计表完整版,请关注“中证鹏元”公众号。
表一 债券市场上周发行统计表
(2020/09/21-09/27)
注:公司债是指一般公司债;非公开发行公司债是指私募债。这里统计的为计划发行规模
表二 债券市场本周计划发行统计
(2020/09/28-10/04)
注:公司债是指一般公司债;非公开发行公司债是指私募债
表三 交易活跃企业债
注:根据最近一个月的数据统计,不包括已到期债券 数据来源:Wind 中证鹏元整理
表四 交易活跃公司债
注:根据最近一个月的数据统计,不包括已到期债券 数据来源:Wind 中证鹏元整理
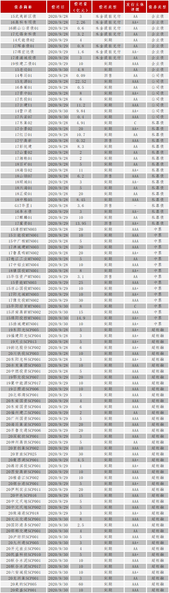
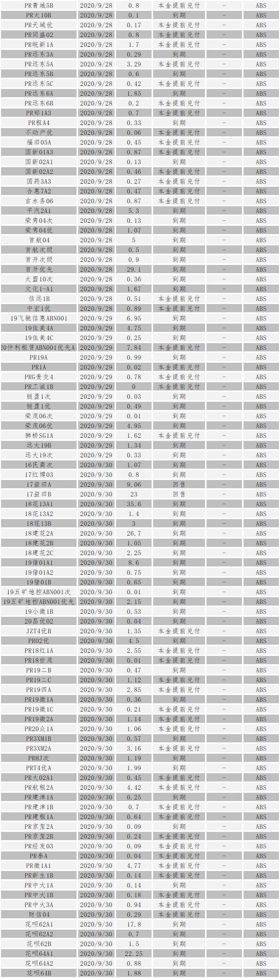
表五 债券市场本周偿还统计(2020/09/28-10/04)
注:根据最近一个月的数据统计,不包括已到期债券
数据来源:Wind 中证鹏元整理
(作者:中证鹏元评级 )
声明:本文由21财经客户端“南财号”平台入驻机构(自媒体)发布,不代表21财经客户端的观点和立场。
评论











