报告摘要
(说明:数据来源于wind数据库,数据截止2020年9月27日。)
● 股市流动性跟踪
一级市场:上周IPO规模为130亿元,前一周IPO规模为111亿元。
二级市场:上周在北上资金流出、两融融资下降等影响下,A股二级市场整体呈现净流出。流入方面,上周国内基金(股票+混合)新发行335亿元;流出方面,北上资金净流出247亿元,重要股东减持84亿元,交易费用67亿元,两融融资余额下降26亿元。
2020年9月(截至9月27日)北上资金净流出287亿元,净流入前五名行业是化工、汽车、电气设备、钢铁、建筑装饰,净流出行业前五名是食品饮料、电子、非银金融、医药生物、银行。
投资者情绪:上周融资交易占比8.4%(前一期8.3%),日换手率0.8%(前一期1.2%),机构挂单卖出640亿元(前一期卖出134亿元)。
限售股解禁:上周限售股解禁1168亿元,前一周限售股解禁380亿元。预计本周限售股解禁947亿元。
●全市场流动性跟踪——“量”:货币投放及派生
基础货币投放:上周央行公开市场操作及MLF净投放2100亿元。2020年8月公开市场及广义再贷款净投放基础货币6458亿元,环比增加10230亿元。
信用货币派生:2020年8月,M1增速8.0%(前一期6.9%);M2增速10.4%(前一期10.7%)。2020年8月新增社融3.58万亿元(前一期约1.69万亿元),金融机构新增人民币贷款1.28万亿元(前一期0.99万亿元)。
● 全市场流动性跟踪——“价”:资金利率及汇率
货币市场:上周短端利率多数上行,SHIBOR隔夜下行142BP至0.69%,R001下行158BP至0.68%,R007下行75BP至1.89%,DR007下行35BP至1.93%,3个月同业存单收益率上行1BP至2.63%;
国债市场:上周1Y国债收益率下行1BP至2.60%,10Y国债收益率上行2BP至3.13%,期限利差上行2BP;
信用债市场:上周5年期企业债收益率维持3.97%,信用利差下行3BP;
理财市场:上周公布数据显示,前一周末3个月人民币理财产品预期收益率为3.69%,较上期下行14BP;
外汇市场:上周美元兑人民币汇率上0.70%至6.82,人民币贬值。
● 风险提示:流动性环境出现超预期波动。
报告正文
一、股市流动性跟踪
说明:二级市场的银证转账数据从17年6月16日以后不再更新,故此后A股资金流动合计数据不包含此项目;本报告数据更新至上周日(2020年9月27日)。
1.1一级市场和二级市场资金流
(1)IPO融资:上周IPO规模为130亿元,前一周IPO规模为111亿元。
(2)重要股东增减持(A股整体):上周重要股东净减持约84亿元,前一周净减持约91亿元。其中增持规模前二的行业为房地产、电气设备;减持规模前三行业为医药生物、电子、化工。
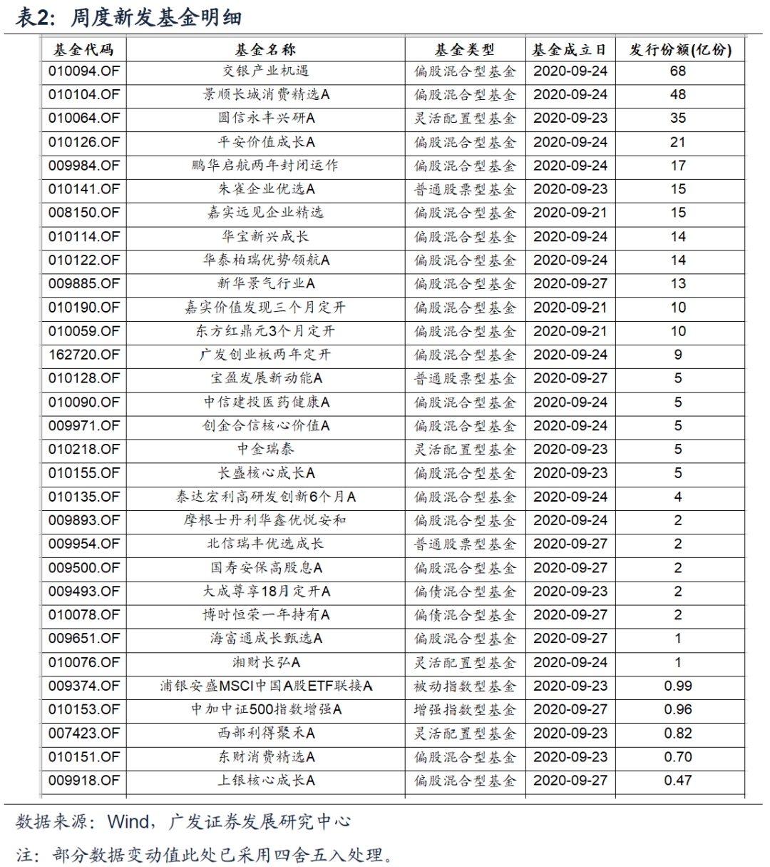
(3)新发基金(股票型+混合型):上周新发基金规模为335亿元,前一周新发基金规模约453亿元,新发基金规模大幅回落。
(4)两融融资余额:上周周末两融融资余额约为14141亿元,上周两融融资减少约26亿元,前一期两融融资增加约54亿元,上周两融融资减少。
(5)陆港通北上资金流入净额:上周陆股通北上资金净流出247亿元,前一周净流入108亿元。截止2020年9月27日,2020年9月北上资金净流出287亿元,净流入前五名行业是化工、汽车、电气设备、钢铁、建筑装饰,净流出行业前五名是食品饮料、电子、非银金融、医药生物、银行。
(6)交易费用:上周为67亿元,前一周为76亿元。
1.2 市场情绪跟踪
(1)融资交易占比:上周为8.4%,前一周为8.3%;
(2)日度换手率:上周为0.8%,前一周为1.2%。
(3)机构资金流向: 上周机构合计挂单卖出640亿元,前一周挂单卖出134亿元。
1.3 其他重要指标跟踪
(1)限售股解禁:上周限售股解禁1168亿元,前一周限售股解禁380亿元。预计本周限售股解禁947亿元(以2020年9月25日收盘价计算)。
二、全市场流动性跟踪——“量”:货币投放及派生
基础货币投放:上周央行公开市场操作及MLF净投放5800亿元。上周共投放逆回购9200亿元,共有4200亿元逆回购到期,净投放5000亿元;共有800亿元国库现金定存。2020年8月公开市场及广义再贷款净投放基础货币6458亿元,环比增加10230亿元。
信用货币派生:2020年8月,M1增速8.0%(前一期6.9%);M2增速10.4%(前一期10.7%)。2020年8月新增社融3.58万亿元(前一期约1.69万亿元),金融机构新增人民币贷款1.28万亿元(前一期0.99万亿元)。
三、全市场流动性跟踪——“价”:资金利率及汇率
货币市场:上周短端利率多数下行,SHIBOR隔夜下行142BP至0.69%,R001下行158BP至0.68%,R007下行75BP至1.89%,DR007下行35BP至1.93%,3个月同业存单收益率上行1BP至2.63%;
国债市场:上周1Y国债收益率下行1BP至2.60%,10Y国债收益率上行2BP至3.13%,期限利差上行2BP;
信用债市场:上周5年期企业债收益率维持3.97%,信用利差上行6BP;
理财市场:上周公布数据显示,前一周末3个月人民币理财产品预期收益率为3.69%,较上期下行14BP;
外汇市场:上周美元兑人民币汇率上行0.70%至6.82,人民币贬值。
四、风险提示
1、流动性环境出现超预期波动。
本报告信息
对外发布日期:2020年9月29日
分析师:
韦冀星:SAC执证号:S0260520080004
戴康:SAC 执证号:S0260517120004,SFC CE No. BOA313
报告正文请参阅广发研报系统(可向对口销售咨询登入方式):
●团队成员介绍●
戴 康 CFA:策略首席分析师,中国人民大学经济学硕士,10年A股策略研究经验。
郑恺:资深分析师,硕士,毕业于华东师范大学。7年策略卖方研究经验。
曹柳龙:资深分析师,硕士,毕业于华东师范大学。6年策略卖方研究经验。
俞一奇:资深分析师,硕士,毕业于上海财经大学、波士顿大学。6年大类资产配置、市场研究和国际比较经验。
韦冀星:资深分析师,硕士,毕业于美国杜兰大学。3年证券行业研究经验。
倪赓:资深分析师,硕士,毕业于中山大学。3年证券行业研究经验。
法律声明
请向下滑动参见广发证券股份有限公司有关微信推送内容的完整法律声明:
本微信号推送内容仅供广发证券股份有限公司(下称“广发证券”)客户参考,相关客户须经过广发证券投资者适当性评估程序。其他的任何读者在订阅本微信号前,请自行评估接收相关推送内容的适当性,若使用本微信号推送内容,须寻求专业投资顾问的解读及指导,广发证券不会因订阅本微信号的行为或者收到、阅读本微信号推送内容而视相关人员为客户。
完整的投资观点应以广发证券研究所发布的完整报告为准。完整报告所载资料的来源及观点的出处皆被广发证券认为可靠,但广发证券不对其准确性或完整性做出任何保证,报告内容亦仅供参考。
在任何情况下,本微信号所推送信息或所表述的意见并不构成对任何人的投资建议。除非法律法规有明确规定,在任何情况下广发证券不对因使用本微信号的内容而引致的任何损失承担任何责任。读者不应以本微信号推送内容取代其独立判断或仅根据本微信号推送内容做出决策。
本微信号推送内容仅反映广发证券研究人员于发出完整报告当日的判断,可随时更改且不予通告。
本微信号及其推送内容的版权归广发证券所有,广发证券对本微信号及其推送内容保留一切法律权利。未经广发证券事先书面许可,任何机构或个人不得以任何形式翻版、复制、刊登、转载和引用,否则由此造成的一切不良后果及法律责任由私自翻版、复制、刊登、转载和引用者承担。
(作者:戴康 )
声明:本文由21财经客户端“南财号”平台入驻机构(自媒体)发布,不代表21财经客户端的观点和立场。













