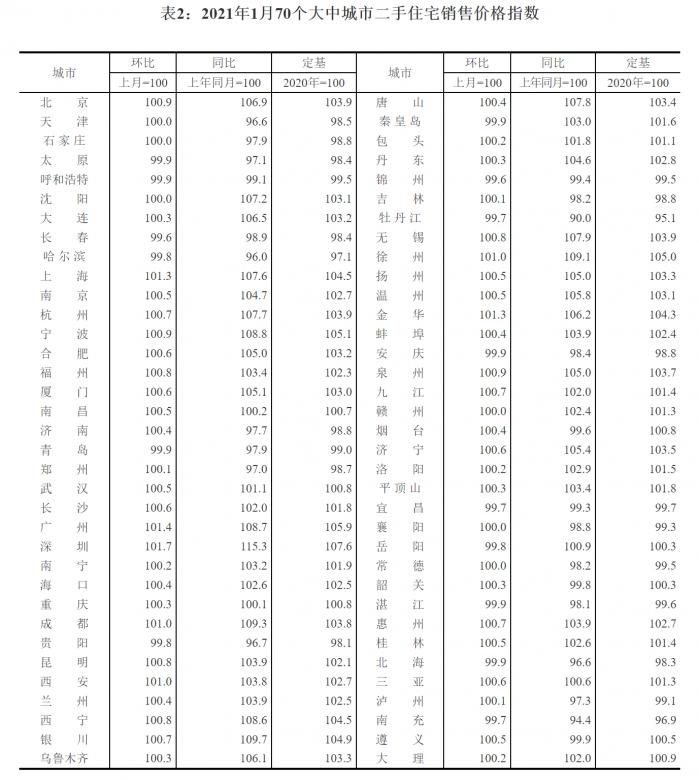
1月70城房价数据出炉:各线城市商品住宅销售价格环比涨幅有所扩大
2月23日,国家统计局公布1月70城房价数据,4个一线城市新建商品住宅销售价格环比上涨0.6%,涨幅比上月扩大0.3个百分点。其中,北京、上海、广州和深圳分别上涨0.5%、0.6%、1.0%和0.3%。二手住宅销售价格环比上涨1.3%,涨幅比上月扩大0.7个百分点。其中,北京、上海、广州和深圳分别上涨0.9%、1.3%、1.4%和1.7%。
31个二线城市新建商品住宅和二手住宅销售价格环比均上涨0.4%,涨幅比上月均扩大0.3个百分点。35个三线城市新建商品住宅和二手住宅销售价格环比分别上涨0.2%和0.3%,涨幅比上月均扩大0.1个百分点。
官方解读
2021年1月份,房地产市场运行总体平稳,各线城市商品住宅销售价格环比涨幅较上月有所扩大,同比涨幅有扩有落。
一、各线城市商品住宅销售价格环比涨幅有所扩大
据测算,1月份,4个一线城市新建商品住宅销售价格环比上涨0.6%,涨幅比上月扩大0.3个百分点。其中,北京、上海、广州和深圳分别上涨0.5%、0.6%、1.0%和0.3%。二手住宅销售价格环比上涨1.3%,涨幅比上月扩大0.7个百分点。其中,北京、上海、广州和深圳分别上涨0.9%、1.3%、1.4%和1.7%。31个二线城市新建商品住宅和二手住宅销售价格环比均上涨0.4%,涨幅比上月均扩大0.3个百分点。35个三线城市新建商品住宅和二手住宅销售价格环比分别上涨0.2%和0.3%,涨幅比上月均扩大0.1个百分点。
二、各线城市商品住宅销售价格同比涨幅有扩有落
据测算,1月份,一线城市新建商品住宅和二手住宅销售价格同比分别上涨4.2%和9.6%,涨幅比上月分别扩大0.3和1.0个百分点。二线城市新建商品住宅和二手住宅销售价格同比分别上涨4.1%和2.5%,涨幅比上月分别扩大0.1和0.3个百分点。三线城市新建商品住宅销售价格同比上涨3.3%,涨幅比上月回落0.2个百分点;二手住宅销售价格同比上涨1.5%,涨幅比上月扩大0.1个百分点。
(编辑:梁宇芳)

