最新70城房价数据出炉:同比涨幅继续上升(解读)
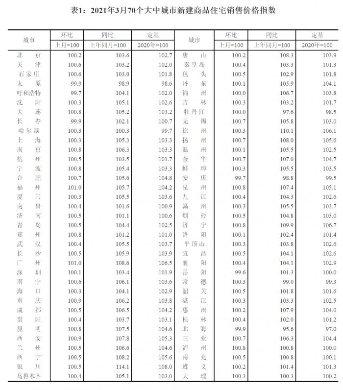
国家统计局披露,据测算,3月份,4个一线城市新建商品住宅销售价格环比上涨0.4%,涨幅比上月回落0.1个百分点。其中,北京、上海、广州和深圳分别上涨0.2%、0.3%、1.0%和0.1%。二手住宅销售价格环比上涨1.0%,涨幅比上月回落0.1个百分点。其中,北京、上海、广州和深圳分别上涨1.4%、1.1%、1.4%和0.4%。31个二线城市新建商品住宅销售价格环比上涨0.5%,涨幅比上月扩大0.1个百分点;二手住宅销售价格环比上涨0.4%,涨幅与上月相同。
3月份商品住宅销售价格环比涨幅基本稳定 同比涨幅继续上升
——国家统计局城市司首席统计师绳国庆解读2021年3月份商品住宅销售价格变动情况统计数据
2021年3月份,各线城市商品住宅销售价格环比涨幅与上月相比变动幅度不大,同比涨幅继续上升。
一、各线城市商品住宅销售价格环比涨幅变动不大
据测算,3月份,4个一线城市新建商品住宅销售价格环比上涨0.4%,涨幅比上月回落0.1个百分点。其中,北京、上海、广州和深圳分别上涨0.2%、0.3%、1.0%和0.1%。二手住宅销售价格环比上涨1.0%,涨幅比上月回落0.1个百分点。其中,北京、上海、广州和深圳分别上涨1.4%、1.1%、1.4%和0.4%。31个二线城市新建商品住宅销售价格环比上涨0.5%,涨幅比上月扩大0.1个百分点;二手住宅销售价格环比上涨0.4%,涨幅与上月相同。35个三线城市新建商品住宅销售价格环比上涨0.3%,涨幅与上月相同;二手住宅销售价格环比上涨0.3%,涨幅比上月扩大0.1个百分点。二、各线城市商品住宅销售价格同比涨幅继续上升
主要受上年同期低基数影响,各线城市商品住宅销售价格同比涨幅均有所扩大。据测算,3月份,一线城市新建商品住宅和二手住宅销售价格同比分别上涨5.2%和11.4%,涨幅比上月分别扩大0.4和0.6个百分点。二线城市新建商品住宅和二手住宅销售价格同比分别上涨4.8%和3.3%,涨幅比上月分别扩大0.3和0.4个百分点。三线城市新建商品住宅和二手住宅销售价格同比分别上涨3.9%和2.3%,涨幅比上月分别扩大0.3和0.4个百分点。
(来源:统计局)
(编辑:叶映橙)

