第一章 行业概况
港口是重要的交通基础设施,港口货物吞吐量与国民经济发展密切相关,港口发展受国家政策影响较大,港口是重要的交通基础设施,是由一定范围的水域和陆域组成的区域,港口作为货物运输和贸易流通的枢纽口岸,其经营货种主要分为集装箱、干散货和液体散货。
图 交通运输行业研究框架(含港口)

资料来源: 资产信息网 千际投行
图 港口行业上下游关联方和产品服务

截止2021年4月29日,港口板块(中信)沪深成分股个数为18,在近几年中呈稳定趋势。企业总市值在近几年呈上升趋势,2021年4月29日,企业总市值为4155.9727亿元,企业员工总数达140514人。
图 员工总数、成分股个数及总市值合计



资料来源:资产信息网 千际投行 Wind
第二章 商业模式和技术发展
2.1 产业链价值链
2.1.1 港口行业产业链
港口行业属于交通运输行业,是基础性行业,其上游行业包括水运、陆运、装备制造、工程建设等行业,上游按照运输货源的品种,主要分为集装箱、干散货和液体散货。集装箱为海上货运主要方式,与进出口贸易景气度相关度高;干散货中主要分为煤炭和金属矿石,为工业原材料,与腹地内工业行业及企业的景气度相关;液体散货主要为原油和成品油,需求的大小取决于化工、炼化企业的景气度、交通运输的消耗以及战略石油储备等。下游行业包括冶金、石化、电力、矿产、农业以及贸易等行业。从下游产业看,航运企业是港口的主要客户群。首先,港口吞吐量会受到企业码头运力、航线安排的影响,而这都会受到企业运营模式、网络布局调整的影响;其次,港口业务会受到航运企业船型变化、相关需求变化的影响;第三,航运市场属于典型周期性行业,港口业的发展无疑会受到市场供求与价格变化的影响。
港口行业的发展与上下游行业的发展密切相关:装备制造和电子设备行业的发展能够提高港口作业效率;水运、陆运等运输行业的发展有助于港口行业扩大服务区域;金融和贸易的发展提升港口综合服务能力和产品附加价值;同时,港口行业的发展也为下游行业的高效运作以及整个国民经济持续发展提供基础。
图 港口行业产业链

资料来源: 资产信息网 千际投行
图 核心三要素

资料来源: 资产信息网 千际投行
图 国际比较

资料来源: 资产信息网 千际投行
图 产业推演

资料来源: 资产信息网 千际投行
2.1.2 商业模式
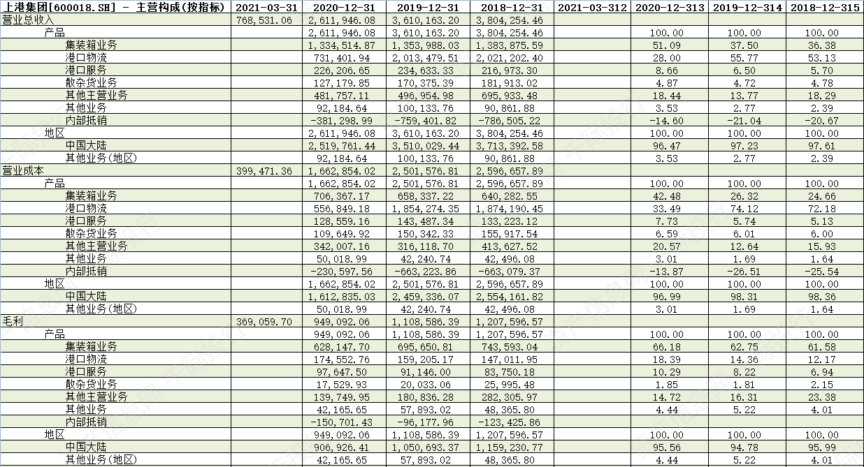
表 以上港集团为例分析主营结构

资料来源: 资产信息网 千际投行 Wind
2.2 技术发展
对国内港口行业的各个专利申请人的专利数量进行统计,排名前十的港口公司依次为:青岛港、唐山港、秦港股份、上港集团、连云港、辽港股份、日照港、淮河能源、锦州港、广州港等。
表 国内专利排名前十港口公司

资料来源:资产信息网 千际投行 同花顺iFind
随着5G技术的应用推广,我国智慧港口也纷纷步入“5G”时代。例如,2019年7月,厦门远海码头启动智慧港口5G应用建设,截至2019年末,厦门远海码头港区已实现5G网络的全覆盖。又如,2020年上半年,宁波市梅山港区已实现5G+龙门吊远程控制规模化应用,并成功试验5G+无人驾驶集卡应用。在我国的港口码头智能化建设以及应用的过程中,信息化的物流智能系统具有非常重要的作用,能够在很大程度上帮助港口码头实现智能化的港口物流相关服务,同时还能够有效的提升港口码头的智能化管理。
无人码头是未来趋势,2017年由上港集团、上海振华重工联合打造的上海洋山深水四期码头无人码头开创了新纪元,共建设7个集装箱泊位,远期为630万标准箱,将引领行业发展趋势。
2.3政策和监管
行业主管部门为国务院、国家交通主管部门。
近年来,与港口行业相关的政策频发,在规划建设方面要求加强港口集疏运体系建设,完善和发展江海联运、铁水联运;在环境保护方面推动“公转铁”“公转水”政策实施,加快绿色港口建设;在收费管理方面赋予港口经营企业更多的自主权,市场化、规范化的港口收费体系逐步完善;在资源整合方面强调进行错位竞争,化解局部地区产能过剩矛盾,推进区域港口一体化发展。
港口经营业务还受到国家发改委、国土资源部、国家海洋局、国家环境保护部、国家出入境检验检疫局、中国海关、中国边检等国家监管机构的监管和审查。
图 近年来港口行业重要政策汇总

资料来源: 资产信息网 千际投行
第三章 行业估值、定价机制和全球龙头企业
3.1 行业综合财务分析和估值方法
图 综合财务分析

图 行业估值和历史比较

资料来源: 资产信息网 千际投行
图 指数PE/PB


资料来源:资产信息网 千际投行 Wind 数据整理
图 指数市场表现

资料来源:资产信息网 千际投行 Wind数据整理
图 指数趋势比较

资料来源:资产信息网 千际投行 Wind数据整理
表 以海洋威尔逊为例分析主营结构

资料来源:资产信息网 千际投行 Wind数据整理
表 境外港口公司估值对比

资料来源:资产信息网 千际投行 Wind数据整理
表 中国上市港口公司估值对比

资料来源:资产信息网 千际投行 Wind数据整理
表 行业并购事件

资料来源:资产信息网 千际投行 Wind数据整理
港口行业是一个毛利率较高的行业,且由于其装卸的费用由于受到国家的调控,毛利率较为稳定。
港口行业估值方法可以选择市盈率估值法、PEG估值法、市净率估值法、市现率、P/S市销率估值法、EV/Sales市售率估值法、RNAV重估净资产估值法、EV/EBITDA估值法、DDM估值法、DCF现金流折现估值法、NAV净资产价值估值法等。
3.2 发展和价格驱动机制
3.2.1 产业发展及特点和驱动因子
近年来,受 GDP 及进出口增速放缓影响,中国主要港口货物吞吐量和集装箱吞吐 量增速波动下降,体现出较强的经济周期性。中国沿海港口处于结构性产能过剩阶段,沿海港口整体投资规模持续下降,内河港口投资规模仍呈上升趋势。
图 港口货物吞吐量增速与宏观经济走势

资料来源: 资产信息网 千际投行
图 定价影响因素

中国港口群林立,岸线资源饱和,腹地高度重叠;深水港仍在进一步建设,加剧区域港口竞争。
图 中国港口布局

港口业务需求集装箱需求主要看全球市场,干散货与原油需求主要看中国内部。
图 全球港口分布图

图 以集装箱为例港口需求分析

图 我国港口吞吐量增长情况

资料来源: 资产信息网 千际投行
图 沿海主要港口货物吞吐量及增速

资料来源: 资产信息网 千际投行
图 主要港口外贸货物吞吐量及增速

资料来源: 资产信息网 千际投行
图 主要港口集装箱吞吐量及增速

资料来源: 资产信息网 千际投行
图 中国煤炭产量及库存情况

资料来源: 资产信息网 千际投行
图 中国铁矿石进口及库存情况

资料来源: 资产信息网 千际投行
图 港口盈利框架

资料来源: 资产信息网 千际投行
事件驱动
图 新闻指数

资料来源:资产信息网 千际投行 同花顺iFind
3.2.2 行业风险分析和风险管理
表 常见行业风险因子

资料来源:资产信息网 千际投行
影响港口行业盈利的主要因素:
(1) 港口收入主要由费率和吞吐量决定。港口收入比较单一,装卸费率根据不同的货物形态分别按单箱费率(集装箱及单吨费率(干散货)。我国的装卸费率有部分费用是长期由国家所管制。
(2) 港口是资金密集型行业,成本折旧及固定人工费用占比较高。港口的运行的基础在于固定资产的投入,包括泊位、航道、大型机械设备等。
(3) 受外需和全球经济增速影响。贸易量与经济息息相关,新冠肺炎疫情的全球蔓延对世界经济造成不利影响,2020 年上半年各国制造业下滑明显;但随着企业复工复产,2020 年 9 月全球主要经济体制造业 PMI指数均已恢复甚至超过疫情前的水平,中国进出口金额也创出近年来的新高,为未来我国港口集装箱吞吐量带来一定支撑
(4) 受国内干散货及原油需求的影响。由于经济结构的转变,干散货的进口量开始下滑,原油储备的基本饱和也导致原油的进口量逐渐放低。
(5) 中国煤炭销量恢复至高位,重点电厂存在补库需求;钢铁行业景气带来铁矿石进口数量增长,港口、钢厂存在补库需求;在基建投资加码的情况下,煤炭、铁矿石等大宗商品短期需求量有望维持高位,对未来港口吞吐量提供一定支撑。
3.3 竞争分析
港口行业整体准入壁垒较高,竞争格局基本稳定,集中度一般;在产能过剩、恶性竞争的背景下,港口资源整合有望持续推进。
图 全球港口列表

我国港口行业市场集中度一般。港口建设需要自然条件良好的岸线资源,对周边配套资源也有着较高的要求,具有一定的资源稀缺性;港口与腹地经济的发展相辅相成,其辐射区域相对稳定,从而呈现出较为明显的区域垄断性特征;政府对港口投资建设采取统一规划管理,实施严格的项目审批制度;航道、码头等港口设施所需投资规模大,属于资本密集型行业。总体看,港口行业的整体准入壁垒较高。
图 中国主要港口比较优势分析

资料来源: 资产信息网 千际投行
3.4 中国企业排名
中国主要企业有上港集团[600018.SH]、宁波港[601018.SH]、青岛港[601298.SH]、辽港股份[601880.SH]、招商港口[001872.SZ]、广州港[601228.SH]、唐山港[601000.SH]、秦港股份[601326.SH]、北部湾港[000582.SZ]、盐田港[000088.SZ]、招商局港口[0144.HK]、青岛港[6198.HK]、中远海运港口[1199.HK]、辽港股份[2880.HK]、秦港股份[3369.HK]、中远海运国际[0517.HK]、天津港发展[3382.HK]、厦门港务[3378.HK]、中国通商集团[1719.HK]、龙翔集团[0935.HK]、恒隆港务[871242.NQ]、滴滴集运[836254.NQ]、阳江港[872491.NQ]等。
表 港口中国上市公司

资料来源: 资产信息网 千际投行
(1) 上港集团:公司是我国最大的港口股份制企业,是货物吞吐量、集装箱吞吐量均居世界前列的综合性港口。主业领域包括港口集装箱、大宗散货和件杂货的装卸生产,以及与港口生产有关的引航、船舶拖带、理货、驳运、仓储、船货代理、集卡运输、国际邮轮服务等港口服务以及港口物流业务。公司深化长江、东北亚、国际化三大战略,组建了长江港口物流有限公司,积极推动港口、航运、物流的协调发展,提高了集团在长江流域的集聚力和辐射力。

(2) 宁波港:公司是中国大陆重点开发建设的四大国际深水中转港之一,在区位、航道水深、岸线资源、陆域依托、发展潜力等方面均具有较大的优势,是世界航线最密集的港口之一,也是世界各大船公司必靠母港之一。

(3) 招商局港口[0144.HK]:公司是首家在香港上市之红筹公司并于2004年9月晋升为香港恒生指数成份股。公司主要从事港口业务、保税物流及冷链业务、物业开发及投资。公司核心业务为从事内地、香港及海外的港口与相关业务,经过多年发展,公司现已成为中国最大以至世界领先的公共码头营运商。公司现已于中国沿海主要枢纽港建立了较为完善的港口网络群,覆盖珠江三角洲、长江三角洲、环渤海湾地区、厦门湾经济区和西南地区。

3.5 全球重要竞争者
英国劳氏日报(Lloyd’s List)发布“2020全球100大集装箱港口排行榜”排名显示前十大港口有7个港口位于中国。
图 100大集装箱排名前9位。

全球非中国主要企业有平潭海洋实业[PME.O]、中环球船务[SINO.O]、汉布格尔港口和物流[HHFA.DF]、OCEAN WILSONS[OCN.L]、MERCANTILE PORTS & LOGISTICS[MPL.L]、GLOBAL PORTS[GPH.L]、HAMBURGER HAFEN[0NBI.L]、三菱仓库[9301.T]、WESTSHORE TERMINALS INVESTME[WTE.TO]等。
表 境外港口主要上市公司

资料来源: 资产信息网 千际投行
(1) 汉布格尔港口和物流[HHFA.DF]汉布格尔港口和物流是欧洲领先的物流公司。HHLA与客户一起为未来的运输流开发物流和数字枢纽。在此过程中,它专注于创新技术和可持续解决方案。

(2) OCEAN WILSONS[OCN.L] 海洋威尔逊控股有限公司是一家投资控股公司。该公司通过其子公司在巴西从事海洋和物流服务。它的分部包括海运服务和投资。海事服务部门在巴西提供拖船,港口码头,船舶代理,离岸,物流和造船服务。投资部门持有国际投资组合。它的子公司是威尔逊儿子有限公司,海洋威尔逊(投资)有限公司,威尔逊儿子行政管理有限公司,VIS有限公司和伊迪·桑托·安德烈·德尔加尔·卡尔加有限公司。Wilson Sons Limited的活动包括港口和海洋拖曳,集装箱码头运营,海上油气支持服务,建筑,物流和船舶代理。海洋威尔逊(投资)有限公司是一家投资公司,拥有国际投资组合。EADI SANTO ANDRE TERMINAL DE CARGA LTDA从事保税仓库业务。

(3) 平潭海洋实业[PME.O] 平潭海洋实业有限公司(Pingtan Marine Enterprise Ltd.,原:China Growth Equity Investment Ltd.)是中国该行业最大的公司之一,通过其全资子公司福建省平潭县远洋渔业集团有限公司从事远洋渔业。公司以其自有及持牌船只在印度专属经济区和印度尼西亚的阿拉弗拉海内作业,捕获。因与China Dredging Group Co., Ltd.合并,2013年2月26日更名为平潭海洋实业有限公司。

第四章 未来发展
港口作为国民经济的晴雨表,其经营发展与宏观经济密切相关。2020年爆发的新冠 肺炎疫情对全球经济造成严重冲击,对港口业绩影响较大。总体看,港口行业整体信用风险较低,行业展望稳定。
未来发展具有如下特征:
1. 综合性大型枢纽港口持续快速发展;
2. 港口吞吐能力趋于过剩;
3. 港口行业整合加速推进;
4. 从规模到精细化管理转变;
5. 区块链、5G技术、大数据、智能化等技术深刻影响港口和航运业。(Ver. 7.0)
(作者:千际投行 )
声明:本文由21财经客户端“南财号”平台入驻机构(自媒体)发布,不代表21财经客户端的观点和立场。