第一章 绿色产业基金的概念
绿色基金泛指投向绿色产业的基金,根据国家发改委印发的《绿色产业指导目录(2019年版)》,绿色产业包括六大类:节能环保产业、清洁生产产业、清洁能源产业、生态环境产业、基础设施绿色升级、绿色服务,涉及到绿色装备制造、清洁能源、环境治理、能源节约、绿色城市(绿色基建)、绿色服务等多个领域。
根据投向不同,绿色基金包括绿色证券基金、绿色股权基金、排放权基金、绿色担保基金等。本文研究的对象是绿色股权基金,为区别于一般的市场化运作的私募股权基金,特称之为绿色产业基金,涵盖了包括由政府、产业企业、金融机构、私人资本设立的所有以股权方式投向绿色产业的私募股权基金。
图 绿色产业分类


资料来源:资产信息网 千际投行 基金从业协会
注:基金以成立时间为准,包括名称中含有绿色、环保、节能、新能源、循环经济等字样的基金。
该数据不包括部分未在协会备案的政府性基金。
近年来,随着环保事业发展加快,绿色发展战略推进,我国的绿色金融市场开始迅速发展,绿色基金也应运而生。2016年中国人民银行、财政部等七部委联合印发了《关于构建绿色金融体系的指导意见》, 首次设立国家绿色发展基金, 自此, 中国开始注重绿色基金的发展并在各地区迅速推行。
绿色基金的种类很多。从政府资金参与程度角度,绿色基金可分为政府性环境保护基金、政府与市场相结合的绿色基金(PPP 模式绿色基金)、纯市场的绿色基金;从投资标的来看,绿色基金可分为绿色产业投资基金、绿色债权基金、绿色股票基金、绿色混合型基金等。不同类型的绿色基金,其目的、资金来源、投资、运行机制和组织形式都有所区别。根据发起设立方式,我国绿色产业基金主要有四类:政府发起的绿色引导基金、PPP绿色项目基金、产业企业(大型企业集团)发起的绿色产业发展基金、金融机构或私人发起的绿色PE/VC基金等。
表 绿色产业基金的四种模式

资料来源:资产信息网 千际投行 海南省绿色金融研究院 中国金融学会绿色金融专业委员会
第二章 发展概况
2.1 制度框架
2.1.1 政策设计
我国绿色基金彰显出了政府从上到下大力主导,政府先后出台多项文件和指导意见来明确其战略定位、发展路径等内容,建立起了绿色基金快速发展的制度性框架。
表 绿色基金相关政策

资料来源:资产信息网 千际投行 国内外绿色基金宏观层面比较研究
2.1.2 发展路径
我国绿色产业基金发展路径如下:

资料来源:资产信息网 千际投行 国内外绿色基金宏观层面比较研究
2.2 政府主导与市场参与相融合
面对我国绿色投资领域目前整体发展程度不高、市场参与主体绿色投资意识不强等问题,我国政府注重发挥政策资金的引领撬动作用,形成了以产业基金为主的发展方式,吸引更多资金和投资主体参与其中。
图 不同基金的政府参与度(由大到小)

资料来源:资产信息网 千际投行
2.3 发展速度较快
目前,从我国绿色公募基金看,自2011年2月发行首只绿色投资基金-兴全绿色投资股票型证券投资基金,到目前低碳、环保、绿色、新能源、“美丽中国”、可持续等绿色投资方向的公募基金共70余只,合计累计净值超过80亿元。从绿色私募基金看,包含绿色产业基金、绿色投资资金、绿色发展投资资金、绿色并购资金等多种形式。
截至2017年底,在中国证券投资基金业协会登记的私募股权、创业投资基金管理人中,投资案例属于高新技术企业或节能环保企业的案例数量19365个,占比33.61%,账面价值8641.48亿元,占比19.54%。目前,我国已在山东、内蒙古、山西、河北、四川等多个省份设立了50多个区域性地方政府支持的绿色发展基金。作为建设美丽中国和推动经济高质量发展的重要举措,国家绿色发展基金股份有限公司7月15日正式揭牌运营,首期规模达885亿元。
表 根据基金规模选取的主要绿色产业基金

资料来源:资产信息网 千际投行 Wind
2.4 绿色基金运行模式较多
对于绿色基金运行模式,不同学者从不同角度进行了研究划分。如苏丹、姚林华、邹博清(2018)指出我国绿色基金主要包括交易所环保主题基金、环保产业并购基金、PPP模式环保产业基金。朱晋(2017)指出绿色产业基金存在“3+1”模式,即“行业内高新技术企业+政府引导基金”“行业内大型央企牵头”“金融机构+行业内知名公司”和“政府和社会合作的PPP环保产业基金”。单科举(2018)指出国内绿色发展基金的PPP模式主要有两种:“财政出资+社会资金”模式和“政府引导基金+社会资金”模式。
表 不同基金的运作模式

资料来源:资产信息网 千际投行 海南省绿色金融研究院 国内外绿色基金宏观层面比较研究
第三章 基金绩效和全球绿色基金发展
3.1基金绩效
3.1.1基金收益率
计算基金收益率时把分红的因素考虑进来,使用复权后的净值数据计算。基金月度收益率计算采用对数收益率法,公式如下:

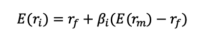
3.1.2基于CAPM模型对基金绩效的分析
William Sharpe(1964)提出的资本资产定价模型(Capital Asset Pricing Model,简称CAPM模型),公式如下:

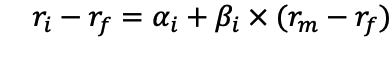
本文通过回归法计算每只基金的系数,公式如下:

表 11只基金的月度收益率统计情况

资料来源:资产信息网 千际投行 Wind
使用以上基金收益率的均值与市场组合期望收益率进行对比,如果大于市场组合期望收益率则基金跑赢了市场组合。
3.1.3 风险调整后的单因素指标
1.Jensen 指数
基于CAPM模型,Jensen指数计算的是证券或投资组合在投资人通过资产管理得到的超额收益,公式如下:

2.Treynor 指数
Treynor指数通过计算每承担1单位系统风险获得的收益来衡量投资人根据股票承担的系统风险动态调整投资的能力。公式如下:

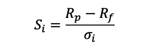
3.Sharpe 指数
Sharpe指数认为证券或投资组合不仅承担了系统性风险,所以使用标的资产的标准差作为总风险,反映了每承担1单位标的资产波动程度获得的收益。公式如下:

表 11只基金的风险调整后指标统计情况

资料来源:资产信息网 千际投行 Wind
由以上结果可以看到,三种经过风险调整后的指数能够反映不同风险调整下的基金表现。同时,基金的Treynor指数和Jensen指数由大到小的排序大多相似,说明经系统风险调整后的收益情况基本一致。
3.2 全球绿色基金发展
过去一年,海内外ESG基金蓬勃发展,美国、欧洲2020年ESG资产增长速度较快。美国ESG ETF规模超过700亿美元;欧洲2020年已发行约72只ETF,几乎是2018年创下的纪录的两倍,占2020年所有ETF发行量的近一半。
近年来国际上ESG投资呈快速发展态势。据国际可持续投资联盟(GSIA)统计,在2018年初,全球纳入ESG因素的投资资产总量为30.7万亿美元,约占全球投资资产总量的26%,较2016年增加34%,较2014年增加68%。从全球ETF规模上,据ETFGI统计,2020年全球ESG理念的ETF投资规模首次超过了1000亿美元。晨星数据显示,2020年二季度,全球对ESG资产的投资同比大幅提升72%,净流入资金历史最高,达到711亿美元,其中,欧洲和美国贡献了主要的资金流入。本文主要关注欧洲和美国ESG指数投资发展。
3.2.1 美国ESG基金
图 美国ESG指数基金规模(十亿美元,截至2020年6月)


图 2 美国ESG指数基金发行数目(只,截至2020年6月)
资料来源:资产信息网 千际投行 晨星 华证指数
据晨星统计,指数基金是美国ESG投资的主要形式之一。截至2020年6月底,美国ESG指数投资规模从10年前的41亿美元增至500亿美元,发展迅猛。在美国上市的103只可持续指数基金中,只有41只在2016年之前推出,大部分基金在近几年推出,这些年轻基金吸引了大量资金流入,反映出投资者对低成本、透明的可持续战略的浓厚兴趣。
3.2.2 欧洲ESG基金
图 欧洲ESG指数基金规模(十亿美元,截至2020年6月)


资料来源:资产信息网 千际投行 晨星 华证指数
据晨星统计,ESG逐渐成为欧洲的主流投资理念,全球一半以上的ESG资金来自欧洲。ESG投资占欧洲指数投资总规模的比重,由2016年的5%发展到2020年中的9.2%,源于持续不断的资金净流入。
整体上,美国、欧洲2020年被动ETF可持续基金增长速度最快,在全球ESG资产中,欧洲占据主导地位,美国次之,欧洲2020年发行的ESG ETF几乎是2018年发行的2倍规模。
3.3 海内外绿色基金对比
总体来看,国外的绿色基金经历了从个别倡议到社会理念基本认同的转变、从单纯宗教信仰的道德伦理层面到现代多维度社会责任策略层面的转变、从机构公司投资主导到机构公司和个人投资多种投资模式并存的转变。从目前运行情况看,不同国家的绿色基金呈现形式多种多样,比如绿色基金在日本的发行主体是以企业为主,在欧洲和美国的发行主体则以机构投资者为主,而在我国的投资主体则是以政府主导或参与的绿色产业基金为主。
全球绿色基金投资的主流原则是遵循以ESG-环境(Environment)、社会(Social)和公司治理(Governance)为主要内容的社会责任投资原则,更多的是强调环境治理,比如英国于1988年推出的第一支绿色投资基金--Merlin Ecology Fund,只投资于注重环境保护的公司,这与我国目前所倡导的兼顾环境污染和节能减排等多重目标的绿色投资原则有所不同。
3.3.1 基金法律法规建设
无论是公司型基金占主导地位的美国,还是契约型基金的发源地英国,对于基金的定义均在法律中作出明确规定。基金一旦在法律层面有了明确的定义和内涵,就为后续长期推进基金立法工作奠定了坚实基础。
一是基金立法长期系统性与修订及时性相结合,二是公募基金和私募基金呈现统一立法的趋势,三是注重强化投资者保护的立法工作。
3.3.2 政府扶持监管
虽然国外绿色基金发行主体是企业和投资机构,但是针对绿色基金具有的外部不经济、与普通基金收益不具有明显差异性的特点,以及其存在自身难以解决的其他问题,许多国外政府不是放任由市场自行解决,而是从政策引导、监管和担保入手,采取成立政府性基金、发放财政补贴、减免税收、加强政府采购支持绿色项目以及加强监管引导等方式和途径,来实现促进绿色基金高效运行、降低投资者资本利得成本和风险承担程度的目的,以便更好地吸引社会资金参与。
一是加强财税政策引导,提升绿色投资吸引力,二是加强政府监督管理,确保绿色基金发展,三是加强财政定位创新,吸引更多资本积极参与。
3.3.3 基金评价机制建设
一是以强制披露为基础,推进环境信息披露。目前环境信息披露主要有两种模式。第一种是强制环境信息披露模式。以美国、法国等国家为代表,要求本国的上市公司信息强制披露。第二种是“强制+自愿”环境信息披露模式。以英国、丹麦等欧盟以及日本等国家为代表,要求本国的上市公司和发债企业实行“强制+自愿”,对污染严重的企业要求强制披露,对其他企业倡导自愿披露。
二是大力推广ESG投资原则,助力绿色投资长期可持续发展。
三是加强评价标准建设,提高绿色投资透明度。各国和国际组织建立了企业评价与绩效标准,从经济效益、社会效益和环境效益等方面进行评价,为投资者提供重要参考。
3.3 Top绿色基金列举
图 美国ESG ETF规模Top10

资料来源:资产信息网 千际投行 华证指数,ETF.com
图 2020年国内泛ESG基金表现Top10

资料来源:资产信息网 千际投行 Wind 华证指数
第四章 绿色产业基金展望
随着绿色产业迅速发展,绿色金融方兴未艾,绿色基金是立体化绿色金融拼图的重要部分。绿色信贷发展较早,规模最大,但与绿色产业资金需求不完全匹配,绿色基金势必成为重要的补充。在绿色金融体系中,绿色基金的资金来源最为广泛,且属于直接融资体系,对于改善金融结构失衡具有重要作用。一方面,部分绿色产业投资周期长、回报率偏低,债权融资存在自有资金不足、期限错配等问题;另一方面,部分绿色产业尚处于行业生命周期的早期或发展期,盈利能力不足、风险偏高。此两种情况均更需要产业基金介入并发挥助推力量。
从近年来倡导人与自然和谐共生的新发展理念引领的生动实践,以及我国资本市场融资去媒介化、大力发展直接融资的长期趋势来看,未来绿色债券和绿色基金等形式的绿色金融产品将会越来越多,创新的品种也会更加丰富。同时,鉴于绿色基金相对绿色债券在融资条件、资金来源渠道、投资期限等方面的独特优势,可以预料:未来的绿色基金发展空间必将会更加广阔,在推进我国生态文明建设和产业升级转型中发挥的作用也将会越来越明显。
(作者:千际投行 )
声明:本文由21财经客户端“南财号”平台入驻机构(自媒体)发布,不代表21财经客户端的观点和立场。