近三年超1000只基金“腰斩” 跌幅超60%广发、华泰柏瑞产品最多
近年A股呈弱势震荡,基金产品跌多涨少。数据显示,近三年,全市场有超过7000只基金没有踩准节奏,出现了不同程度的下跌。
其中,下跌超过30%的基金多达3900多只,超1000只“腰斩”,跌幅超60%的也有229只。而从跌幅超六成的基金所在公司来看,广发基金及华泰柏瑞基金旗下产品最多,分别有17只和13只。
7只基金三年跌幅超70%
最近三年,A股市场整体呈弱势回调的态势,虽然期间不乏结构性行情,也有不少基金因此实现了正收益,但更多基金没有踩准节奏收益率为负。
据同花顺iFinD数据统计,截至8月14日的近三年,全市场有超过4800只(A/C份额分开计算)基金实现正收益,但同期有超过7000只基金没有踩准节奏,基金出现了不同程度的下跌。其中,5900多只基金跌幅超10%,3900多只跌幅超30%,“腰斩”的基金也超过1000只。
更有多只基金跌幅超过了70%。数据显示,民生加银创新成长混合A、金鹰多元策略混合A、同泰开泰混合C、富安达新兴成长混合A、金鹰转型动力混合、同泰开泰混合A、前海开源医疗健康C等7只基金近三年跌幅分别达到了73.08%、71.99%、70.96%、70.86%、70.78%、70.61%、70.07%。
数据显示,近三年跌幅最大的民生加银创新成长混合A是一只偏股混合型基金,成立于2018年12月26日,基金经理为陈洁馨。从业绩表现来看,截至8月14日该基金成立以来跌幅39.32%,2024年以来跌幅29.38%,在同类4135只基金排在第4021位,近一年跌32.73%,在同类3848只基金排在第3610位。
投资快报记者留意到,除了垫底的业绩表现,陈洁馨超高的换手率也让基民“闻风丧胆”。数据显示,陈洁馨在2021 年 12 月接手民生加银创新成长混合A后,换手率从之前的200%,飙涨到了2022年年中的1588%。而最新数据,到2023年底,换手率高达1241%。而在陈洁馨接手之前,该基金的换手率最低仅193%。
值得关注的是,除业绩垫底的民生加银创新成长混合A外,民生加银旗下的民生加银医药健康股票A、民生加银新兴成长混合、民生加银精选混合、生物科技ETF基金、民生加银智造2025混合、民生加银前沿科技混合、民生加银科技创新混合(LOF)、民生加银品质消费股票C、民生加银稳健成长混合、民生加银品质消费股票A、民生加银优选股票、民生加银养老服务混合最近三年的跌幅也超过50%。当中民生加银医药健康股票A、民生加银新兴成长混合的跌幅分别高达60.84%和60.80%。
公开资料显示,民生加银基金成立于2008年11月,由中国民生银行、加拿大皇家银行和陕西省国际信托股份有限公司共同出资设立,现任董事长李业弟曾任民生银行南京分行行长。同花顺iFinD数据显示,截至2024年6月末,民生加银基金资产管理规模1479.86亿元,其中债券型规模1036.26亿元,占比70.02%。股票型和混合型基金规模分别为45.75亿元和115.39亿元,两者合计仅占10.89%。
跌幅超60%基金广发、华泰柏瑞旗下产品最多
逾千只近三年“腰斩”的基金中,跌幅超六成也多达229只。从相关产品所在基金公司来看,当中广发及华泰柏瑞旗下产品最多。同花顺iFinD数据显示,截至8月14日的近3年,这两家基金公司旗下分别有17只和13只跌幅超60%。
具体来看,广发旗下近3年跌幅超60%的基金分别是,广发优势成长股票C、广发聚丰混合C、广发聚丰混合A、广发优势成长股票A、广发新经济混合C、广发成长精选混合C、广发国证新能源车电池ETF、广发新经济混合A、广发成长精选混合A、广发优势增长股票、广发中证医疗ETF联接C、广发中证医疗ETF联接(LOF)A、广发医药健康混合C、广发创新升级混合、广发高端制造股票C、广发医药健康混合A、广发高端制造股票A。
广发基金是业内第30家成立的基金管理公司,公司及旗下子公司目前拥有公募基金管理、社保基金境内委托投资管理人、基本养老保险基金证券投资管理机构、特定客户资产管理、QDII、RQFII、QFII等业务资格。截至2024年6月末,广发基金管理规模14277.89亿元,其中股票型基金108只,规模为1307.96亿元,占比9.16%;混合型基金149只,规模为1741.87亿元,占比12.2%。
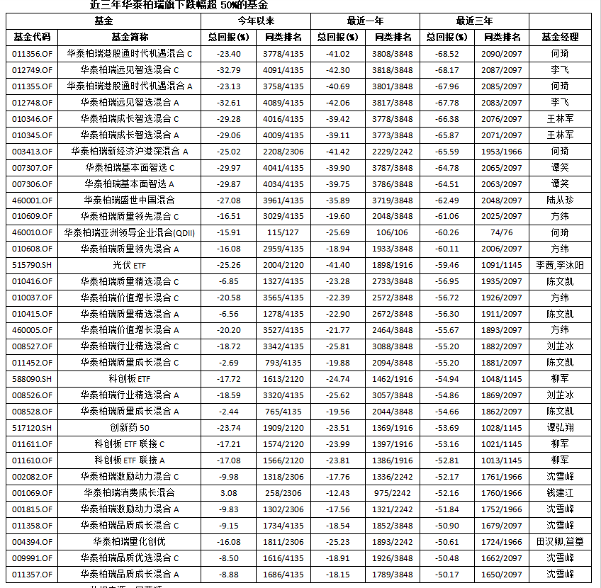
华泰柏瑞旗下近3年跌幅超60%的基金分别是,华泰柏瑞港股通时代机遇混合C、华泰柏瑞远见智选混合C、华泰柏瑞港股通时代机遇混合A、华泰柏瑞远见智选混合A、华泰柏瑞成长智选混合C、华泰柏瑞成长智选混合A、华泰柏瑞新经济沪港深混合A、华泰柏瑞基本面智选C、华泰柏瑞基本面智选A、华泰柏瑞盛世中国混合、华泰柏瑞质量领先混合C、华泰柏瑞亚洲领导企业混合(QDII)、华泰柏瑞质量领先混合A。当中,前7只产品的跌幅均超65%。
截至今年6月末,华泰柏瑞基金管理规模4849.2亿元,管理产品达到156只,当中股票型规模为2728.14亿元。值得注意的是,虽然华泰柏瑞基金管理的股票型基金庞大,但指数基金占绝大多数,当中华泰柏瑞沪深300ETF基金规模2188.24亿元,仅其占比就超过了80%。印象中,似乎还没有任何一家基金公司像华泰柏瑞一样,如此严重依赖单只基金产品。
(作者:记者茅宁,张裕,实习生钱骏 编辑:蔡海涛)

